
上海奥法美嘉生物科技有限公司
钻石会员
已认证

上海奥法美嘉生物科技有限公司
钻石会员
已认证
摘要:抛光液中氧化剂以及湿法清洗工艺中的化学药液是晶圆生产过程中的关键组分,其浓度直接影响晶圆良率和工艺稳定性。本文基于Entegris SemiChem APM 200型浓度计,对其在监测浓度时采用的滴定法与标准加入法的工作原理进行说明。通过举例详述DSP清洗液中的各个组分的滴定步骤与计算过程,为CMP工艺中氧化剂浓度监控及湿法清洗工艺中关键化学品浓度的在线、精准监测提供了清晰的理论基础与方法依据,为读者在使用SemiChem时提供新思路。
关键词:湿法清洗工艺;Entegris;电化学滴定;标准加入法
引言
研磨液既具有化学特性,又有机械特性,其中的氧化剂会通过化学反应氧化晶圆表面材料,再辅助机械研磨进行材料去除。研磨液中常用H2O2作为氧化剂,随着时间的推移,H2O2会分解成水和氧气,影响表面研磨质量[1,2]。为了减少晶圆缺陷和避免废品,产线上需要实时监控氧化剂的浓度。
湿法清洗是保障后续工艺的可靠性与器件性能的关键步骤[3],随着制程进入纳米尺度,对清洗效果及工艺稳定性的要求愈发严苛,化学药液的精确浓度控制成为核心问题。DSP清洗液是HF、H2SO4和H2O2组成的混合液,因其对颗粒污染物的高效去除能力、广泛的适用性以及成本效益等优势被广泛应用于集成电路制造前端工艺的各大清洗点[4],其中HF具有强腐蚀性,在清洗工艺进行时,需要对HF的蒸发进行补偿,以保证在清洗工艺进行时,清洗液不会因HF浓度太高变成刻蚀液,从而影响晶圆的良率。
本文以湿法清洁工艺中常用的DSP清洗液中的组分浓度检测为例,对其在SemiChem上的浓度检测原理展开讨论。
一、滴定分析法
SemiChem利用氧化还原或酸碱中和的滴定反应来计算出被测样品的浓度,其核心依据是一个常见的化学反应计量关系,具体应用公式见1-1。已知滴定液的体积和浓度,被测样品的体积,即可计算被测样品的浓度。

1.1 氧化还原反应
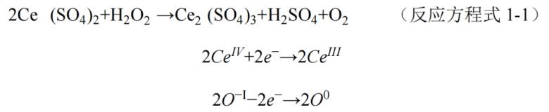
氧化还原反应(Redox)是化学中常用的核心反应类型之一,其本质为电子对的偏移。以DSP组分中的过氧化氢(H2O2)为例进行说明。在H2O2的滴定过程中,采用硫酸铈(Ce(SO₄)₂)作为滴定液。通常H2O2与Ce(SO₄)₂的氧化还原反应在酸性条件下进行,反应时四价的铈离子被还原为三价铈离子,具体见化学反应方程式1-1。

该过程中氧化还原电极(Oxidation-Reduction Potential,ORP)会监测溶液中所有氧化态物质和还原态物质之间发生电子交换的综合趋势,以判断H2O2的浓度,在此过程中化学计量比为=2:1,设硫酸铈滴定液的浓度为CCe,达到滴定终点时消耗的体积为VCe,待测过氧化氢样品的体积为,则过氧化氢样品的浓度见公式1-2。

1.2 酸碱中和反应
除涉及到电子转移的氧化还原反应外,SemiChem的滴定过程还包括酸碱中和反应,以DSP组分中硫酸(H₂SO₄)的滴定为例进行说明。在H₂SO₄的滴定过程中,采用氢氧化钠(NaOH)作为滴定液,滴定时氢氧根离子与氢离子结合生成水分子,具体见化学反应方程式1-2。
![]()
该过程使用 pH 电极监测溶液中 pH 值的变化,反应中化学计量比为nNaOH:nH2SO4=2:1。设氢氧化钠滴定液的浓度为 CNaOH,达到滴定终点时消耗的体积为VNaOH,待测硫酸样品的体积为VH2SO4,则硫酸样品的浓度CH2SO4见公式 1-3。

1.3 滴定终点判断
对于氧化还原与酸碱中和滴定,一般而言,其电极电势或pH值与添加滴定液的体积的分析曲线呈S型。在滴定时,SemiChem通过实时判断导数最大点来判定滴定终点(end point),图1.1展示了横坐标为添加滴定液体积(mL)纵坐标为电极电压(mV)的典型滴定曲线,滴定初期电极电压值变化不大,取点相对稀疏,随着滴定的进行,导数变化逐渐变大,取点随之相对密集。在这一过程中,SemiChem在到达滴定终点后仍然会继续滴定一段时间,以保证滴定终点结果的可靠性。

图 1.1 典型的滴定法曲线
二、标准加入法
SemiChem还使用标准加入法来判断浓度。标准加入法是通过测量待测样品中电位值的变化来判断浓度。以DSP组分中HF为例进行简单说明,由于用于氟离子检测的离子选择电极(Ion-Selective Electrode,ISE)的电位响应符合能斯特方程(见公式2-1),即测量的电位与待测溶液中氟离子的活度(氟离子的有效浓度)的对数呈线性关系。在检测浓度时,先加入离子缓冲溶液(TISAB)将pH值升高至5.0-5.5,使溶液中的HF尽可能被电离成氢离子和氟离子,此时,将测试溶液中的电位E1,随后加入500ppm的氟离子标准液,再测电位E2,通过计算两次的电位差和待测样品加入体积,最终反推出原始浓度。图2.1显示了这一滴定过程,横坐标为传感器响应时间,纵坐标为电极电压(mV)。

其中:
E:电极电位(相对于标准氢电极);
E0:标准电极电位(所有反应物和产物活度均为1时的电位);
R:理想气体常数(8.314 J·mol-1·K-1);
T:热力学温度(K);
n:半反应中转移的电子数;
F:法拉第常数(96485 C·mol-1);
Q:反应商。
在此方程中,电子数n恰好与反应商中氟离子活度指数3相约,再将其中如R、F等合并常数项,即得到化简后的能斯特方程2-2。

其中:
S:电极的实际斜率,对于氟离子,25℃时约为-59.16 mV/decade。
开始测试时,先加入TISAB使活度系数()恒定,电极电位E与氟离子浓度的关系可简化为公式2-3,其中K为常数,C为氟离子浓度。

测试样品的电位E1后,会加入一小体积(Vx)的500ppm的氟离子标准溶液,再测试新电位E2,由于Vx小到可以忽略,此时溶液中氟离子的浓度为,将测得的数值代入方程联立,即可计算出待测氟离子浓度Cx浓度,具体计算步骤见公式2-4、2-5。


图2.1 典型的标准加入法曲线
三、技术优势
SemiChem APM 200在半导体湿化学品浓度监测中,将高精度的实验室级别监测与半导体制造需要的高效率相结合。
(1)功能模块
SemiChem标配高度集成的功能模块,确保了分析过程的可靠性,操作便捷的同时保证了数据连通与传输的准确。标准配置包括安全联锁装置,四个4-20 mA模拟输出通道与八个可编程继电器;支持计算机模式(RS232)、本地模式与远程模式(PLC);彩色触摸屏可直接交互控制,内含产线中常用的滴定方法可供直接使用,操作方便快捷;系统支持微量样品监测,同时具备多个传感器接口支持多种组分测试,提升了系统在严苛条件或无人值守环境下的运行安全性、自动化水平与长期可靠性。
(2)高性能传感器
采用pH/ISE/ORP电极,集成滴定法与标准加入法,对关键工艺液中的组分浓度监测精度最高可达显示值的±0.2%。随着制程节点的不断缩小,CMP研磨液中氧化剂的浓度也在逐渐变低,SemiChem在H2O2浓度1%以下时,仍表现出良好的重复性。
(3)核心算法
SemiChem可根据预期的终点体积优化试剂注射量。随着总进样量越来越接近滴定终点,系统进样量会越来越小。在传感器响应曲线的关键部分SemiChem提供200多个数据点,以确定最精确的滴定终点。
(4)可选在线/离线进样
SemiChem可实现在线与离线的多组分自动化滴定与数据分析,数据结果可在几分钟内完成计算并显示,显著提升了监测效率的同时简化了流程,保证了产线中的晶圆良率。
(5)MTBF>8500小时
SemiChem平均无故障工作时间(MTBF)超过8500小时,且每月仅需约20-30分钟的预防性维护。25年以上的浓度监控成熟技术及全球超过3000套的安装量及在众多领先芯片制造商的成功应用案例,获得了业界的广泛验证。

图2.2 SemiChem APM 200, Dual Cell Floor Mount with Grabport, Model 009672
结论
CMP工艺及清洗步骤是集成电路制造过程中重要的一环,过程中组分浓度的波动不仅会影响后续沉积工艺的缺陷密度,还会引发电学缺陷,损害器件可靠性,在其中,研磨液中的氧化剂浓度会影响晶圆表面材料的去除率,从而影响晶圆良率;而清洗液的选择和成分直接影响清洗的效果和后续工艺的稳定,SemiChem APM 200浓度计涵盖了滴定法与标准加入法,为保障清洗工艺稳定性、控制缺陷产生及提升集成电路制造良率提供了至关重要的数据支撑。
参考文献
[1] 张力飞,路新春,张佳磊,等.钴化学机械抛光中抛光液及清洗剂的研究进展[J].材料导报,2025,39(06):226-235. [2] Wang Z ,Liu P ,Lee J , et al.Investigation of cleaning mechanisms for particle, metal ion, and organic contaminations in amorphous carbon post-CMP cleaning[J].Applied Surface Science,2026,717164803-164803. [3] Samrina S ,Nagendra Y P ,Young S H , et al.Investigation of the effect of different cleaning forces on Ce-O-Si bonding during oxide post-CMP cleaning[J].Applied Surface Science,2021,(prepublish):149035. [4] 王玉超,吴彬斌,贾丽丽,等.IC单片湿法清洗中SC1清洗工艺对热氧化硅膜刻蚀速率及表面均匀性的影响[J].微纳电子技术,2025,62(07):127-136.
最新动态
更多
虚拟号将在 秒后失效
使用微信扫码拨号